1️⃣ 양자역학: 뉴턴 역학을 넘어선 새로운 패러다임
뉴턴의 고전역학은 세상의 모든 운동을 결정론적 법칙으로 설명할 수 있다고 믿었다.
하지만 20세기 초, 미시 세계(원자, 전자, 광자 등)에서는 고전 물리학으로 설명할 수 없는 현상들이 발견되었다.
✅ 광전효과 (Photoelectric Effect) → 빛이 입자(광자)처럼 행동한다
✅ 이중 슬릿 실험 (Double Slit Experiment) → 전자가 파동처럼 간섭 패턴을 만든다
✅ 양자 터널링 (Quantum Tunneling) → 전자가 클래식적으로 불가능한 벽을 통과한다
이제 양자역학은 **확률적(probabilistic)**으로 기술되는
새로운 수학적 구조를 요구하게 되었다.
2️⃣ 양자역학의 수학적 기초: 힐베르트 공간과 상태 벡터
양자 상태(Quantum State)는 **힐베르트 공간(Hilbert Space)**에서
벡터(vector)로 표현되며, 보통 켯(Notations, |ψ⟩) 기호를 사용한다.
✅ 상태 벡터 |ψ⟩
양자 시스템의 상태는 복소수 벡터로 표현된다.
∣ψ⟩=a∣0⟩+b∣1⟩|\psi\rangle = a |0\rangle + b |1\rangle
여기서,
- |0⟩, |1⟩ → 기저 상태(Basis State)
- a, b → 확률 진폭(Probability Amplitude), 복소수이며
∣a∣2+∣b∣2=1|a|^2 + |b|^2 = 1을 만족해야 한다.
✅ 힐베르트 공간의 내적(inner product)
두 양자 상태 ∣ψ⟩,∣ϕ⟩의 내적은 다음과 같이 정의된다.

이를 통해 상태들의 정규화(normalization) 및 직교성(orthogonality)이 결정된다.
✅ 연산자(Operator)와 측정(Measurement)
양자 시스템에서 물리량(Observable)은 **에르미트 행렬(Hermitian Operator)**로 표현되며,
이를 통해 측정 결과를 예측할 수 있다.

이 방정식은 **슈뢰딩거 방정식(Schrödinger Equation)**의 일반적인 형태로,
양자 시스템이 어떻게 변화하는지를 나타낸다.
3️⃣ 양자역학의 핵심 원리
📌 1. 중첩 원리 (Superposition Principle)
고전 물리학에서는 입자는 하나의 상태만 가질 수 있지만,
양자역학에서는 여러 상태가 동시에 존재할 수 있다.
✅ 전자의 상태

이 상태에서 전자는 |0⟩ 상태와 |1⟩ 상태가 동시에 존재한다.
하지만 측정을 하면 한 가지 상태로 수렴하게 된다(파동 함수 붕괴, Wavefunction Collapse).
📌 2. 얽힘(Entanglement)과 비국소성(Non-locality)
양자 얽힘(Quantum Entanglement)은 두 개 이상의 입자가 서로 연결되어,
한 입자의 상태가 결정되는 순간 다른 입자의 상태도 즉시 결정되는 현상이다.
✅ 벨 실험(Bell’s Theorem)과 국소적 실재론의 붕괴
아인슈타인은 이를 "유령 같은 원격 작용(Spooky Action at a Distance)"이라 표현했지만,
벨 불평등(Bell’s Inequality)이 실험적으로 깨지면서 고전적인 인과 관계와 다른 특성을 가진다는 것이 입증되었다.
📌 실제 응용 사례
- 양자 통신(Quantum Communication) → 양자 암호(QKD, Quantum Key Distribution)
- 양자 네트워크 → 정보의 비국소적 전송 가능성 연구
📌 3. 양자 터널링 (Quantum Tunneling)
고전 물리학에서는 에너지가 부족한 입자는 벽을 넘을 수 없다.
하지만 양자역학에서는 입자가 고전적으로 불가능한 에너지 장벽을 통과하는 현상이 발생한다.
✅ 적용 사례
- 반도체 소자 (트랜지스터, 다이오드) → 현대 컴퓨터 기술의 근간
- 양자 터널링 현미경 → 개별 원자 관측 가능
- 핵융합 반응 (태양의 에너지원)
4️⃣ 양자 컴퓨팅의 수학적 기초
양자 컴퓨터(Quantum Computer)는 기존 컴퓨터와 다르게
양자 중첩과 얽힘을 이용하여 연산을 수행하는 시스템이다.
📌 1. 큐비트(Qubit)와 양자 게이트
고전 컴퓨터의 정보 단위는 **비트(Bit, 0 또는 1)**이지만,
양자 컴퓨터는 **큐비트(Qubit)**을 사용하여 0과 1의 중첩 상태를 가질 수 있다.
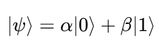
✅ 단일 큐비트 상태

여기서 α, β는 복소수이며 ∣α∣^2+∣β∣^2=1을 만족한다.
✅ 양자 논리 게이트 (Quantum Gate)
고전 컴퓨터에서 논리 게이트(AND, OR, NOT)가 중요하듯,
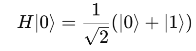
양자 컴퓨터에서는 하드마드(Hadamard, H), CNOT, 토폴리(Toffoli) 게이트 등이 사용된다.
- 하드마드 게이트 (H-Gate) → 중첩 상태를 생성

- CNOT 게이트 → 두 개의 큐비트 얽힘 생성

✅ 쇼어 알고리즘(Shor’s Algorithm)과 양자 우위(Quantum Supremacy)
쇼어 알고리즘은 소인수분해를 양자 컴퓨터로 빠르게 수행할 수 있는 알고리즘으로,
RSA 암호화 기술을 무력화할 가능성이 있다.
📌 구글, IBM, 중국 USTC가 양자 컴퓨터 실험 진행 중
5️⃣ 양자 컴퓨팅의 미래: 가능성과 한계
✅ 양자 컴퓨터가 기존 슈퍼컴퓨터를 초월할 수 있을까?
✅ 양자 우위(Quantum Supremacy)는 어디까지 가능할까?
✅ 양자 암호는 현대 암호 체계를 완전히 대체할 수 있을까?
하지만 아직 해결해야 할 문제도 많다.
양자 오류 정정(Quantum Error Correction)과 큐비트의 유지 시간이
양자 컴퓨터 상용화의 가장 큰 난제로 남아 있다.
🛑 양자역학은 우주의 본질을 설명하는가?
✅ 고전 물리학은 양자역학 앞에서 무너졌다.
✅ 하지만 양자 세계는 직관적으로 이해하기 어려운 새로운 법칙을 따르고 있다.
✅ 이제 우리는 양자역학을 이용해 더 강력한 컴퓨팅을 실현할 수 있는가?
양자역학은 인간이 우주를 바라보는 방식을 완전히 바꿔놓았다.
이제 양자 컴퓨팅은 우리가 정보 처리의 방식까지 새롭게 정의할 수 있을까?
'2️⃣ 공학적 사고 & 문제 해결' 카테고리의 다른 글
| 허스키 렌즈와 객체 탐지 기술 및 해양 쓰레기 수거 로봇 (0) | 2025.02.27 |
|---|---|
| 🔊 푸리에 해석과 신호 처리: 주파수의 세계를 해부하다 (0) | 2025.02.25 |
| 미분기하학과 상대성이론: 곡률이 결정하는 시공간의 구조 (0) | 2025.02.25 |
| 비선형 동역학과 카오스 이론: 질서 속의 무질서 (0) | 2025.02.25 |
| 인공지능 기반 스마트 제조 시스템: 혁신인가, 위협인가? (0) | 2025.02.24 |